ProgramSoliving
백준 : 6543
하이후에호
2020. 7. 15. 11:01
반응형
https://www.acmicpc.net/problem/6543
6543번: 그래프의 싱크
각 테스트 케이스마다 한 줄에 걸쳐 bottom(G)의 모든 노드를 출력한다. 노드는 공백으로 구분해야 하며, 오름차순이어야 한다. 만약, bottom(G)가 공집합이면 빈 줄을 출력한다.
www.acmicpc.net

SCC를 찾는 문제인데 간선이 존재하지 않는 노드는 그자체가 강한 연결요소이다.
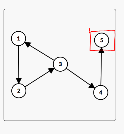
위의 그림처럼 5번을 제외한 나머지 노드들은 강한 연결요소가 아니다 1->2->3 은 강한 연결요소인것 같지만
3->4 edge도 존재하기 때문에 강한 연결 요소가 아니다 이러한 경우의 SCC는 제외하면 된다.
SCC를 만들어가는 과정에서 현재 사이클에서 SCC가 만들어진 집단에대해서 연결된 edge가 false가 존재한다는 것은 outline이 한개 더 존재한다는 것이다. 이때의 SCC 집단은 무효화하는 함수를 추가한다.
정렬해서 출력한다.
import java.io.BufferedReader;
import java.io.IOException;
import java.io.InputStreamReader;
import java.util.ArrayList;
import java.util.Arrays;
import java.util.Collections;
import java.util.Comparator;
import java.util.Stack;
import java.util.StringTokenizer;
public class B6543 {
static int V, E;
static ArrayList<Integer> graph[];
static ArrayList<Integer> reGraph[];
static Stack<Integer> stack;
static boolean visit[];
public static void main(String[] args) throws IOException {
BufferedReader br = new BufferedReader(new InputStreamReader(System.in));
StringTokenizer st;
StringBuilder sb = new StringBuilder();
while (true) {
st = new StringTokenizer(br.readLine());
if ((V = Integer.parseInt(st.nextToken())) == 0)
break;
E = Integer.parseInt(st.nextToken());
// Size Init
graph = new ArrayList[V + 1];
reGraph = new ArrayList[V + 1];
visit = new boolean[V + 1];
for (int v = 1; v <= V; v++) {
graph[v] = new ArrayList<Integer>();
reGraph[v] = new ArrayList<Integer>();
}
st = new StringTokenizer(br.readLine());
for (int e = 0; e < E; e++) {
int u = Integer.parseInt(st.nextToken());
int v = Integer.parseInt(st.nextToken());
graph[u].add(v);
reGraph[v].add(u);
}
stack = new Stack<>();
for (int v = 1; v <= V; v++) {
if (!visit[v])
dfs(v);
}
ArrayList<Integer> list = new ArrayList<Integer>();
Arrays.fill(visit, false);
while (!stack.isEmpty()) {
int node = stack.pop();
if (!visit[node]) {
int t = list.size();
SCC(node, list);
boolean check = true;
for (int i = t; i < list.size(); i++) {
int len = graph[list.get(i)].size();
for (int j = 0; j < len; j++) {
// 하나라도 다른게 존재한다면 지금 추가된 SCC 모드는 제거하겠다.
if (!visit[graph[list.get(i)].get(j)]) {
check = false;
break;
}
}
if (!check)
break;
}
// 현재 템포에서 추가된 SCC를 제거하는 코드
if (!check) {
while (list.size() > t) {
list.remove(list.size() - 1);
}
}
}
}
Collections.sort(list);
for (int l : list) {
sb.append(l).append(' ');
}
sb.append('\n');
}
System.out.println(sb.toString());
}
static void dfs(int node) {
visit[node] = true;
for (int next : graph[node]) {
if (!visit[next]) {
dfs(next);
}
}
stack.add(node);
}
// stack에 나온걸 가지고 찾는 dfs
public static void SCC(int node, ArrayList<Integer> list) {
visit[node] = true;
list.add(node);
for (int next : reGraph[node]) {
if (!visit[next]) {
SCC(next, list);
}
}
}
}
반응형